Resultats

Cabal, pH, conducitivitat i temperatura de l’aigua

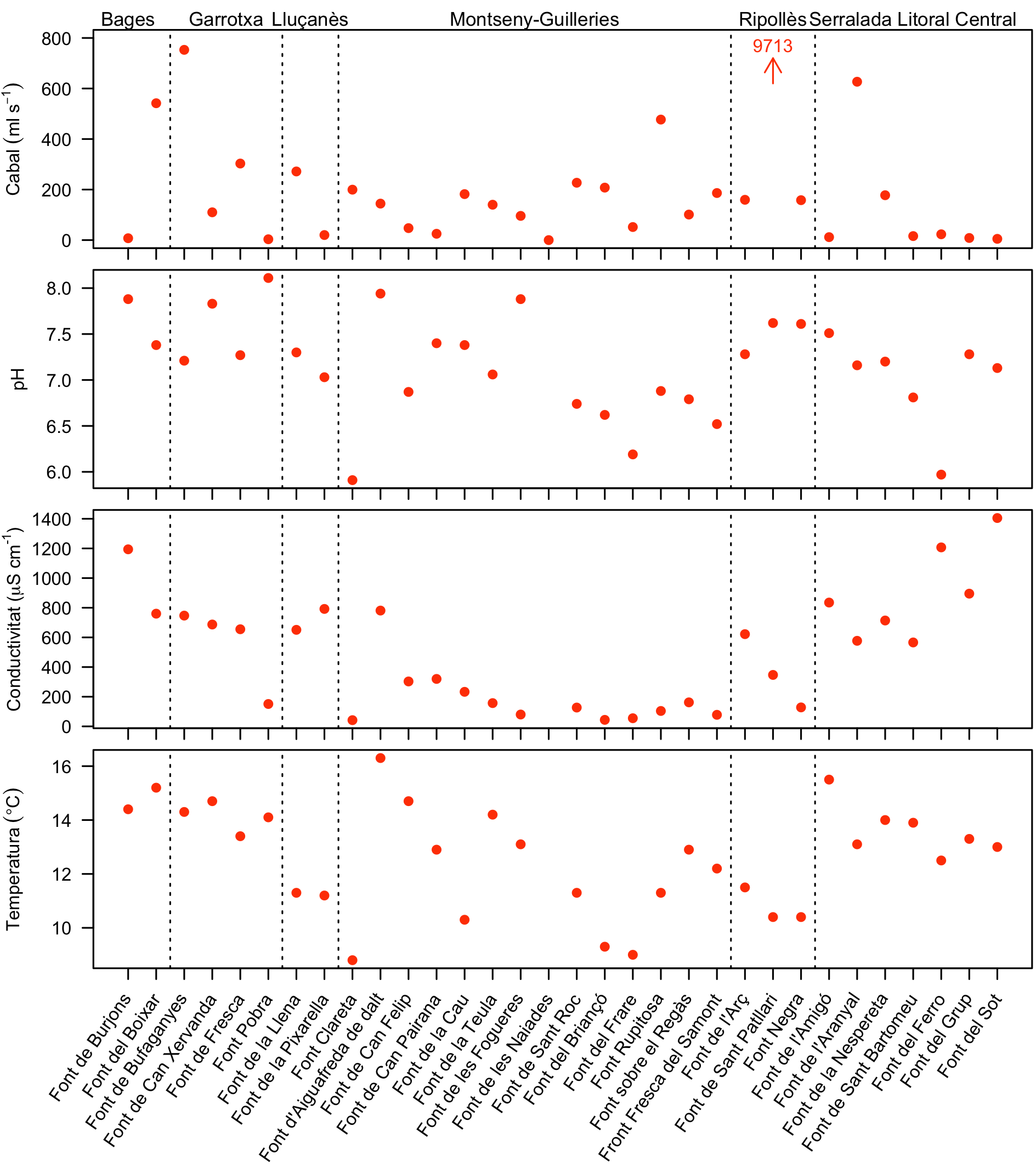
Durant el seguiment anual de 2025, les fonts tingueren un cabal medià de 142.2 ml s-1 (Figura 1), molt superior al del 2024 (15.5 ml s-1). De les 32 fonts, només la Font de les Nàiades era seca, comparat amb set font seques el 2024. El pH medià va ser de 7.21. La conductivitat mediana va ser de 566 µS cm-1 (molt més elevada que la del 2024, de 263 µS cm-1), i la temperatura mediana, de 13.0 °C.

Figura 1. Mesures in-situ a les 32 fonts de seguiment anual durant la primavera de 2025, agrupades per regió. La fletxa i el valor al panell superior indiquen un valor de cabal fora de rang.

Figura 1. Mesures in-situ a les 32 fonts de seguiment anual, agrupades per regió. Aquestes fonts es van mostrejar durant la primavera de 2024. La fletxa i el valor al panell superior indiquen un valor de cabal fora de rang.

Les últimes mesures a les fonts de seguiment triennal, mesurades a la tardor al nord-est de Catalunya, assenyalen un cabal medià de 16.6 ml s-1 (Figura 2). Els cabals més elevats es van mesurar a les fonts de Can Verdaguer i del Mont, amb vora 370 ml s-1, mentre que els cabals més baixos (<1 ml s-1) s’observaren la Font de Can Nofre i la Font Rovellada. El pH de l’aigua va ser neutre, amb un pH medià de 6.9. La conductivitat mediana de l’aigua fou de 542 µS cm-1; destquen els valors molt elevats de les fonts picants Font de Can Verdaguer i Font Coromines. La temperatura mediana de l’aigua fou de 16.0 °C.

Figura 2. Mesures in-situ a les 22 fonts de seguiment triennal, agrupades per regió. Aquestes fonts es van mostrejar durant la tardor de 2025 al nord-est de Catalunya. Les fletxes indiquen valors de conductivitat fora de rang.

Figura 1. Mesures in-situ a les 32 fonts de seguiment anual, agrupades per regió. Aquestes fonts es van mostrejar durant la primavera de 2024. La fletxa i el valor al panell superior indiquen un valor de cabal fora de rang.

Riquesa i diversitat d’espècies vegetals

Per tal d’avaluar la riquesa d’espècies (número total d’espècies) i la diversitat (número i representació relativa d’espècies) de les comunitats fontinals ens centrem en la paret principal de la font. A les fonts de seguiment anual i mensual, la major part de les observacions de plantes a aquesta paret principal són de briòfits, concretament molses i hepàtiques (65%), seguides per plantes fanerògames (30%) i pteridòfits (5%). El 2025 hem quantificat a aquestes fonts una riquesa mediana total de 7, i una riquesa de briòfits de 4 (Figura 3). L’índex medià de diversitat Shannon total va ser de 1.9, mentre que el de briòfits va ser de 1.4.

Figura 3. Riquesa d’espècies i índex de diversitat Shannon a la paret principal de les fonts de seguiment anual. Les fonts estan agrupades per regió. Cercles sòlids inclouen totes les plantes, i rombes oberts, només briòfits.

Figura 1. Mesures in-situ a les 32 fonts de seguiment anual, agrupades per regió. Aquestes fonts es van mostrejar durant la primavera de 2024. La fletxa i el valor al panell superior indiquen un valor de cabal fora de rang.

A les fonts de seguiment triennal del sud-oest de Catalunya també hem trobat que la major part de les observacions d’espècies vegetals a la paret principal de la font són de briòfits (molses i hepàtiques, 57%), seguides de plantes fanerògames (37%) i de pteridòfits (6%). En aquest cas vam trobar una riquesa mediana total de 5 i una riquesa de briòfits de 3 (Figura 4). La diversitat Shannon mediana total va ser de 1.1, i la de briòfits de 0.8.

Figura 4. Riquesa d’espècies i índex de diversitat Shannon a la paret principal de les fonts de seguiment triennal (sud-oest de Catalunya). Les fonts estan agrupades per regió. Cercles sòlids inclouen totes les plantes, i rombes oberts, només briòfits.

Figura 1. Mesures in-situ a les 32 fonts de seguiment anual, agrupades per regió. Aquestes fonts es van mostrejar durant la primavera de 2024. La fletxa i el valor al panell superior indiquen un valor de cabal fora de rang.

Química de l’aigua

La composició química de l’aigua de les fonts de seguiment anual i mensual del 2024 mostra que, en general, hi ha una agrupació per regió, és a dir, la química de l’aigua és més similar entre fonts que es troben a la mateixa regió que entre fonts de diferents regions (Figura 5). Per exemple, les fonts del Montseny-Guilleries i les de la Serralada Litoral Central ocupen diferents extrems en l’espai multidimensional de química de l’aigua. Destaquen la Font de Burjons, al Bages, amb valors molt elevats de Mg, NO2 i SO4, i la Font del Sot, a la Serralada Litoral Central, amb valors molt elevats de SO4, Ca o Mn.

Figura 5. Anàlisi de components principals de la química de l’aigua de fonts de seguiment anual durant el 2024. Les diferents regions on es troben les 32 fonts s’indiquen mitjançant símbols de diferents colors i formes. Les fletxes indiquen la direcció i magnitud de variació del elements químics de l’aigua (NO3, nitrats; SO42-,   sulfats; PRS, fòsfor reactiu soluble, equivalent a fosfats PO43-).

Figura 1. Mesures in-situ a les 32 fonts de seguiment anual, agrupades per regió. Aquestes fonts es van mostrejar durant la primavera de 2024. La fletxa i el valor al panell superior indiquen un valor de cabal fora de rang.